如何构建LeetCode 310题中的最小高度树?
- 内容介绍
- 文章标签
- 相关推荐
本文共计963个文字,预计阅读时间需要4分钟。
LeetCode 310. 最小高度树(中等)题目大意:一棵树是一个无向图,其中任何两个节点之间只有一个路径。题目要求找出所有节点数最少的树,使得任意两个节点之间都只有一条路径。简单来说,就是找到一个节点数最少且结构简单的树,使得任意两个节点都能通过一条路径连接。
leetcode 310. Minimum Height Trees 最小高度树(中等) 一、题目大意标签: 搜索
leetcode.cn/problems/minimum-height-trees
树是一个无向图,其中任何两个顶点只通过一条路径连接。 换句话说,一个任何没有简单环路的连通图都是一棵树。
给你一棵包含n个节点的树,标记为0到n - 1 。给定数字n和一个有 n - 1 条无向边的 edges列表(每一个边都是一对标签),其中 edges[i] = [ai, bi] 表示树中节点 ai 和 bi 之间存在一条无向边。
可选择树中任何一个节点作为根。当选择节点 x 作为根节点时,设结果树的高度为 h 。在所有可能的树中,具有最小高度的树(即,min(h))被称为 最小高度树 。
请你找到所有的 最小高度树 并按 任意顺序 返回它们的根节点标签列表。
树的 高度 是指根节点和叶子节点之间最长向下路径上边的数量。
示例 1:
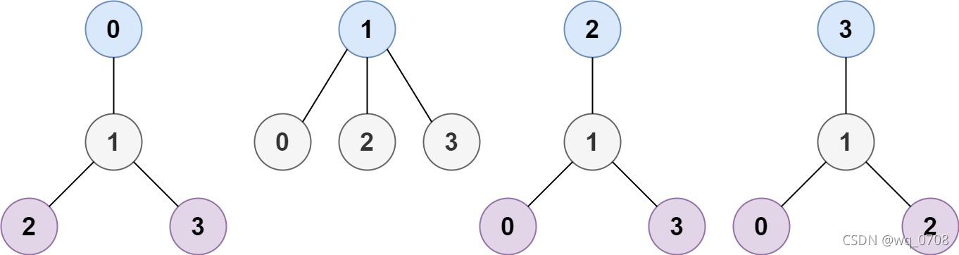
输入:n = 4, edges = [[1,0],[1,2],[1,3]]
输出:[1]
解释:如图所示,当根是标签为 1 的节点时,树的高度是 1 ,这是唯一的最小高度树。
示例 2:
输入:n = 6, edges = [[3,0],[3,1],[3,2],[3,4],[5,4]]
输出:[3,4]
提示:
- 1 <= n <= 2 * 104
- edges.length == n - 1
- 0 <= ai, bi < n
- ai != bi
- 所有 (ai, bi) 互不相同
- 给定的输入 保证 是一棵树,并且 不会有重复的边
借助二维数组,描绘出一个无向图,例2中,结果是节点3和4,因为节点3和4到其他叶子节点最大距离为2。观察我发现叶子节点的特征,每个叶子节点的度为1,顶点0、1、2、5的度为1,顶点4的度为2,顶点3的度为4。我们每次输出一个度为1的顶点,输出后就把该顶点从图中抹掉,同时更新相邻顶点的degree。比如选择了度为1的顶点2,与其相信的顶点3的度就变为3了,再依次选择顶点0、1、5,这样就剩下顶点3、4就是我们的结果了。
无向图中顶点v的度(Degree)是关于该顶点的边的数目。
public class Solution {
public List<Integer> findMinHeightTrees(int n, int[][] edges) {
List<Integer> ans = new ArrayList<>();
if (n == 1) {
ans.add(0);
return ans;
}
int[] degree = new int[n];
Map<Integer, List<Integer>> nodeMap = new HashMap<>();
for (int i = 0; i < n; i++) {
nodeMap.put(i, new ArrayList<>());
}
for (int[] edge : edges) {
nodeMap.get(edge[0]).add(edge[1]);
nodeMap.get(edge[1]).add(edge[0]);
degree[edge[0]]++;
degree[edge[1]]++;
}
Queue<Integer> queue = new LinkedList<>();
for (int i = 0; i < n; i++) {
if (degree[i] == 1) {
queue.add(i);
}
}
while (!queue.isEmpty()) {
List<Integer> list = new ArrayList<>();
int size = queue.size();
for (int i = 0; i < size; i++) {
int cur = queue.poll();
list.add(cur);
for (int tmp : nodeMap.get(cur)) {
degree[tmp]--;
if (degree[tmp] == 1) {
queue.add(tmp);
}
}
}
ans = list;
}
return ans;
}
}
四、总结小记
- 2022/6/13 下班的时候爆雨停了
本文共计963个文字,预计阅读时间需要4分钟。
LeetCode 310. 最小高度树(中等)题目大意:一棵树是一个无向图,其中任何两个节点之间只有一个路径。题目要求找出所有节点数最少的树,使得任意两个节点之间都只有一条路径。简单来说,就是找到一个节点数最少且结构简单的树,使得任意两个节点都能通过一条路径连接。
leetcode 310. Minimum Height Trees 最小高度树(中等) 一、题目大意标签: 搜索
leetcode.cn/problems/minimum-height-trees
树是一个无向图,其中任何两个顶点只通过一条路径连接。 换句话说,一个任何没有简单环路的连通图都是一棵树。
给你一棵包含n个节点的树,标记为0到n - 1 。给定数字n和一个有 n - 1 条无向边的 edges列表(每一个边都是一对标签),其中 edges[i] = [ai, bi] 表示树中节点 ai 和 bi 之间存在一条无向边。
可选择树中任何一个节点作为根。当选择节点 x 作为根节点时,设结果树的高度为 h 。在所有可能的树中,具有最小高度的树(即,min(h))被称为 最小高度树 。
请你找到所有的 最小高度树 并按 任意顺序 返回它们的根节点标签列表。
树的 高度 是指根节点和叶子节点之间最长向下路径上边的数量。
示例 1:
输入:n = 4, edges = [[1,0],[1,2],[1,3]]
输出:[1]
解释:如图所示,当根是标签为 1 的节点时,树的高度是 1 ,这是唯一的最小高度树。
示例 2:
输入:n = 6, edges = [[3,0],[3,1],[3,2],[3,4],[5,4]]
输出:[3,4]
提示:
- 1 <= n <= 2 * 104
- edges.length == n - 1
- 0 <= ai, bi < n
- ai != bi
- 所有 (ai, bi) 互不相同
- 给定的输入 保证 是一棵树,并且 不会有重复的边
借助二维数组,描绘出一个无向图,例2中,结果是节点3和4,因为节点3和4到其他叶子节点最大距离为2。观察我发现叶子节点的特征,每个叶子节点的度为1,顶点0、1、2、5的度为1,顶点4的度为2,顶点3的度为4。我们每次输出一个度为1的顶点,输出后就把该顶点从图中抹掉,同时更新相邻顶点的degree。比如选择了度为1的顶点2,与其相信的顶点3的度就变为3了,再依次选择顶点0、1、5,这样就剩下顶点3、4就是我们的结果了。
无向图中顶点v的度(Degree)是关于该顶点的边的数目。
public class Solution {
public List<Integer> findMinHeightTrees(int n, int[][] edges) {
List<Integer> ans = new ArrayList<>();
if (n == 1) {
ans.add(0);
return ans;
}
int[] degree = new int[n];
Map<Integer, List<Integer>> nodeMap = new HashMap<>();
for (int i = 0; i < n; i++) {
nodeMap.put(i, new ArrayList<>());
}
for (int[] edge : edges) {
nodeMap.get(edge[0]).add(edge[1]);
nodeMap.get(edge[1]).add(edge[0]);
degree[edge[0]]++;
degree[edge[1]]++;
}
Queue<Integer> queue = new LinkedList<>();
for (int i = 0; i < n; i++) {
if (degree[i] == 1) {
queue.add(i);
}
}
while (!queue.isEmpty()) {
List<Integer> list = new ArrayList<>();
int size = queue.size();
for (int i = 0; i < size; i++) {
int cur = queue.poll();
list.add(cur);
for (int tmp : nodeMap.get(cur)) {
degree[tmp]--;
if (degree[tmp] == 1) {
queue.add(tmp);
}
}
}
ans = list;
}
return ans;
}
}
四、总结小记
- 2022/6/13 下班的时候爆雨停了

