如何用SimpleRNN模型识别长尾词在评论文本中的特征?
- 内容介绍
- 文章标签
- 相关推荐
本文共计1158个文字,预计阅读时间需要5分钟。
文章目录前言:阅读评论数据集,使用Tokenizer进行文本分词,构建长度统一的一词向量,利用RNN神经网络构建完整代码,包括博文搭配视频课程、自然语言处理与知识图谱前言的理论和原理介绍。
文章目录前言读入评论数据集用Tokenizer给文本分词构建长度统一词向量构建RNN神经网络完整代码如下博文配套视频课程自然语言处理与知识图谱前言前面的理论和原理介
文章目录
- 前言
- 读入评论数据集
- 用Tokenizer给文本分词
- 构建长度统一词向量
- 构建RNN神经网络
- 完整代码如下
博文配套视频课程:自然语言处理与知识图谱
前言
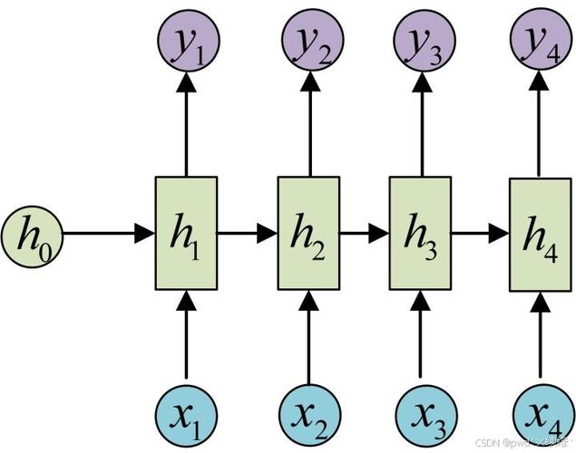
前面的理论和原理介绍完了,接下来回到鉴定文本的情感属性这个案例。可以先把文本向量化,然后在通过Keras构建最简单循环神经网络SimpleRNN层。最后得出结论哪些客户是好评,哪些客户是差评。
读入评论数据集
该项目涉及到的代码和数据文件可以通过百度云盘进行下载,提取密码:lsqz。同学们也可以通过Kaggle网站通过关键字Product Comments 搜索该数据集进行下载。
本文共计1158个文字,预计阅读时间需要5分钟。
文章目录前言:阅读评论数据集,使用Tokenizer进行文本分词,构建长度统一的一词向量,利用RNN神经网络构建完整代码,包括博文搭配视频课程、自然语言处理与知识图谱前言的理论和原理介绍。
文章目录前言读入评论数据集用Tokenizer给文本分词构建长度统一词向量构建RNN神经网络完整代码如下博文配套视频课程自然语言处理与知识图谱前言前面的理论和原理介
文章目录
- 前言
- 读入评论数据集
- 用Tokenizer给文本分词
- 构建长度统一词向量
- 构建RNN神经网络
- 完整代码如下
博文配套视频课程:自然语言处理与知识图谱
前言
前面的理论和原理介绍完了,接下来回到鉴定文本的情感属性这个案例。可以先把文本向量化,然后在通过Keras构建最简单循环神经网络SimpleRNN层。最后得出结论哪些客户是好评,哪些客户是差评。
读入评论数据集
该项目涉及到的代码和数据文件可以通过百度云盘进行下载,提取密码:lsqz。同学们也可以通过Kaggle网站通过关键字Product Comments 搜索该数据集进行下载。

