如何通过两个向量计算它们之间的旋转矩阵?
- 内容介绍
- 文章标签
- 相关推荐
本文共计923个文字,预计阅读时间需要4分钟。
一、简介本文主要介绍通过给定的两个向量,计算从一个向量旋转到另一个向量的旋转矩阵。
二、步骤
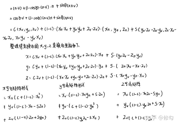
1.假设有两个向量,分别记为 vectorBefore(x1, y1, z1) 和 vectorAfter(x2, y2, z2)。
2.将这两个向量转换为单位向量。
3.计算两个单位向量之间的夹角。
4.根据夹角和单位向量,计算旋转矩阵。
一、简介
本文主要介绍通过给定的两个空间向量,计算出从一个向量旋转到另一个向量的旋转矩阵。
二、步骤
① 假设两个向量分别为vectorBefore(x1,y1,z1),vectorAfter(x2,y2,z2),将这两个向量转为单位向量。
本文共计923个文字,预计阅读时间需要4分钟。
一、简介本文主要介绍通过给定的两个向量,计算从一个向量旋转到另一个向量的旋转矩阵。
二、步骤
1.假设有两个向量,分别记为 vectorBefore(x1, y1, z1) 和 vectorAfter(x2, y2, z2)。
2.将这两个向量转换为单位向量。
3.计算两个单位向量之间的夹角。
4.根据夹角和单位向量,计算旋转矩阵。
一、简介
本文主要介绍通过给定的两个空间向量,计算出从一个向量旋转到另一个向量的旋转矩阵。
二、步骤
① 假设两个向量分别为vectorBefore(x1,y1,z1),vectorAfter(x2,y2,z2),将这两个向量转为单位向量。

