如何实现基于Huffman算法的编码与解码过程?
- 内容介绍
- 文章标签
- 相关推荐
本文共计878个文字,预计阅读时间需要4分钟。
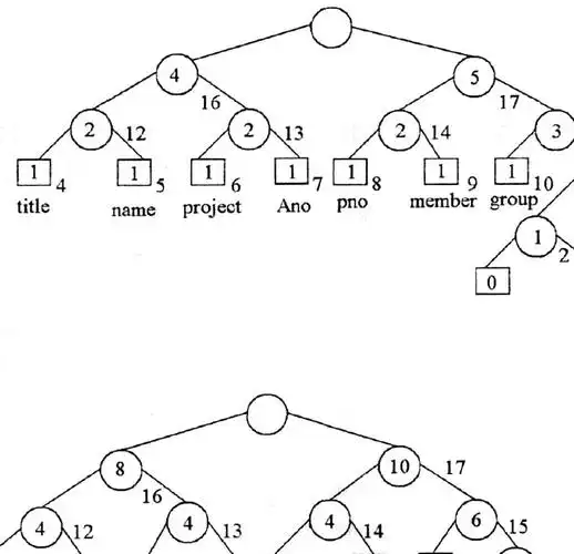
Huffman编码主要通过统计各个元素出现的频率,然后生成编码以实现压缩。它构建一个Huffman树,其中节点的结构如下:
ctypedef struct Tree { int freq; // 频率 int key; // 键值 struct Tree *left, *right; // 左右子树} Tree;
Huffman编码主要是通过统计各元素出现的频率,进而生成编码最终达到压缩的目的。
这里是Huffman树中节点的结构。
本文共计878个文字,预计阅读时间需要4分钟。
Huffman编码主要通过统计各个元素出现的频率,然后生成编码以实现压缩。它构建一个Huffman树,其中节点的结构如下:
ctypedef struct Tree { int freq; // 频率 int key; // 键值 struct Tree *left, *right; // 左右子树} Tree;
Huffman编码主要是通过统计各元素出现的频率,进而生成编码最终达到压缩的目的。
这里是Huffman树中节点的结构。

