如何用JavaScript实现深度优先搜索算法求解两点间的最短路径?
- 内容介绍
- 文章标签
- 相关推荐
本文共计440个文字,预计阅读时间需要2分钟。
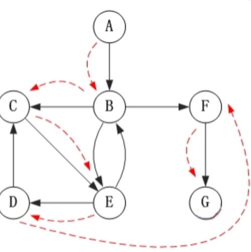
原文示例:本文字例为大师分享了JS实现深度优先搜索求解两点间最短路径的具体代码,供大师参考,具体内容如下:效果:找出图中点到点最短路径,并打印轨迹图片如图所示:代码:const ma
改写后:本例展示JS实现深度优先搜索求解两点间最短路径的代码片段,供参考。具体实现如下:功能:计算图中两点间的最短路径,并显示路径轨迹。
本文共计440个文字,预计阅读时间需要2分钟。
原文示例:本文字例为大师分享了JS实现深度优先搜索求解两点间最短路径的具体代码,供大师参考,具体内容如下:效果:找出图中点到点最短路径,并打印轨迹图片如图所示:代码:const ma
改写后:本例展示JS实现深度优先搜索求解两点间最短路径的代码片段,供参考。具体实现如下:功能:计算图中两点间的最短路径,并显示路径轨迹。

