Python中如何实现长尾词的最大似然估计算法?
- 内容介绍
- 文章标签
- 相关推荐
本文共计1612个文字,预计阅读时间需要7分钟。
Python中的最大似然估计(Maximum Likelihood Estimation,简称MLE)是一种常见的统计推断方法,用于估计一个参数在特定观测数据下的最有可能的值。其核心思想是寻找一个参数值,使得观测数据在该参数值下的概率最大。
Python中的最大似然估计算法详解
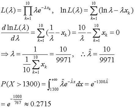
最大似然估计(Maximum Likelihood Estimation,简称MLE)是一种常见的统计推断方法,用于估计一个参数在给定一组观测数据下的最有可能取值。其核心思想是,通过最大化数据的似然函数,来确定最佳参数值。在Python中,最大似然估计算法的运用非常广泛,本文将详细介绍Python中的最大似然估计算法,包括最大似然的定义、应用场景、算法原理、实现方法等内容。
一、最大似然的定义
最大似然估计是从概率论的角度来解决参数估计问题的标准方法。假设我们面临一个统计问题,并且我们知道了一些数据,但是我们不知道参数值。为了估计参数值,我们可以将数据视为一个概率模型的样本,对给定的数据进行参数估计。最大似然估计此时的核心思想是,寻找一个最优参数值,使得该参数值下给定样本数据的概率最大。
具体来说,最大似然估计的核心思想是,找到一个参数θ,使得样本数据的似然函数 L(θ) 最大。似然函数是一个关于模型参数θ的函数,它描述了模型与给定数据的拟合程度。直观地理解,似然函数所描述的是,对于给定样本数据,针对不同的参数取值时,观测到该样本数据的概率大小。
本文共计1612个文字,预计阅读时间需要7分钟。
Python中的最大似然估计(Maximum Likelihood Estimation,简称MLE)是一种常见的统计推断方法,用于估计一个参数在特定观测数据下的最有可能的值。其核心思想是寻找一个参数值,使得观测数据在该参数值下的概率最大。
Python中的最大似然估计算法详解
最大似然估计(Maximum Likelihood Estimation,简称MLE)是一种常见的统计推断方法,用于估计一个参数在给定一组观测数据下的最有可能取值。其核心思想是,通过最大化数据的似然函数,来确定最佳参数值。在Python中,最大似然估计算法的运用非常广泛,本文将详细介绍Python中的最大似然估计算法,包括最大似然的定义、应用场景、算法原理、实现方法等内容。
一、最大似然的定义
最大似然估计是从概率论的角度来解决参数估计问题的标准方法。假设我们面临一个统计问题,并且我们知道了一些数据,但是我们不知道参数值。为了估计参数值,我们可以将数据视为一个概率模型的样本,对给定的数据进行参数估计。最大似然估计此时的核心思想是,寻找一个最优参数值,使得该参数值下给定样本数据的概率最大。
具体来说,最大似然估计的核心思想是,找到一个参数θ,使得样本数据的似然函数 L(θ) 最大。似然函数是一个关于模型参数θ的函数,它描述了模型与给定数据的拟合程度。直观地理解,似然函数所描述的是,对于给定样本数据,针对不同的参数取值时,观测到该样本数据的概率大小。

