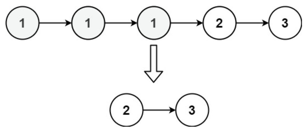
力扣82题:如何删除排序链表中所有重复的元素?2026-04-12 00:060阅读0评论SEO资源内容介绍文章标签相关推荐本文共计361个文字,预计阅读时间需要2分钟。题目:给定一个已排序的链表的头 head,删除原始链表中的所有重复数字节点,只留下不同的数字。返回修改后的已排序链表。阅读全文标签:重复元素题目相关推荐83559如何用数组实现循环队列来处理长尾词的存储和访问?83563当数组作为函数参数,int*与char*有何本质区别?83569C STL 函数对象如何改写为长尾?83570如何将二分查找算法应用于解决长尾词查找问题?83573三维重建之虚拟内窥镜(VE)的实现原理是什么?83574轻松选品,月入过万,快团团副业新选择,有没有什么好方法?83576如何巧妙回答面试官提出的经典难题,展现个人优势?83577如何将高精度算法应用于长尾词处理中?83581日赚千元无脑信息差项目,单利,如何打造实现持续盈利?83585如何将C++ STL常用算法改写为长尾词?83591口碑SEO优化价格透明一览,哪家服务更实惠?83592C++ STL中next_permutation函数如何实现排列的下一个排列顺序?83597如何通过编写Makefile来大幅提升CC++项目的构建效率?83599Codeforces 746 C. Tram的解题思路是什么?83600杭州SEO专家,企业网站优化哪家强?首选是哪家?83605如何解决2017百度之星资格赛1003、1004题的算法问题?本文共计361个文字,预计阅读时间需要2分钟。题目:给定一个已排序的链表的头 head,删除原始链表中的所有重复数字节点,只留下不同的数字。返回修改后的已排序链表。阅读全文标签:重复元素题目相关推荐83559如何用数组实现循环队列来处理长尾词的存储和访问?83563当数组作为函数参数,int*与char*有何本质区别?83569C STL 函数对象如何改写为长尾?83570如何将二分查找算法应用于解决长尾词查找问题?83573三维重建之虚拟内窥镜(VE)的实现原理是什么?83574轻松选品,月入过万,快团团副业新选择,有没有什么好方法?83576如何巧妙回答面试官提出的经典难题,展现个人优势?83577如何将高精度算法应用于长尾词处理中?83581日赚千元无脑信息差项目,单利,如何打造实现持续盈利?83585如何将C++ STL常用算法改写为长尾词?83591口碑SEO优化价格透明一览,哪家服务更实惠?83592C++ STL中next_permutation函数如何实现排列的下一个排列顺序?83597如何通过编写Makefile来大幅提升CC++项目的构建效率?83599Codeforces 746 C. Tram的解题思路是什么?83600杭州SEO专家,企业网站优化哪家强?首选是哪家?83605如何解决2017百度之星资格赛1003、1004题的算法问题?