将e-r图转化为关系数据模型的过程属于哪类数据库设计方法?
- 内容介绍
- 文章标签
- 相关推荐
本文共计824个文字,预计阅读时间需要4分钟。
将e-R图转换为关系数据模型的步骤属于逻辑设计阶段。主要工作是将现实世界的概念数据模型设计成数据库的逻辑模式,这种模式适用于特定数据库管理系统支持的逻辑数据模型。
将e-r图转换为关系数据模型的过程属于“逻辑设计阶段”,主要工作是将现实世界的概念数据模型设计成数据库的一种逻辑模式,即适应于某种特定数据库管理系统所支持的逻辑数据模式。
本教程操作环境:windows7系统、mysql8版本、Dell G3电脑。
将e-r图转换为关系数据模型的过程属于“逻辑设计阶段”。
逻辑结构设计是将概念结构设计阶段完成的概念模型,转换成能被选定的数据库管理系统(DBMS)支持的数据模型。这里主要将E-R模型转换为关系模型。需要具体说明把原始数据进行分解、合并后重新组织起来的数据库全局逻辑结构,包括所确定的关键字和属性、重新确定的记录结构和文件结构、所建立的各个文件之间的相互关系,形成本数据库的数据库管理员视图。
逻辑结构设计一般分为三步进行:
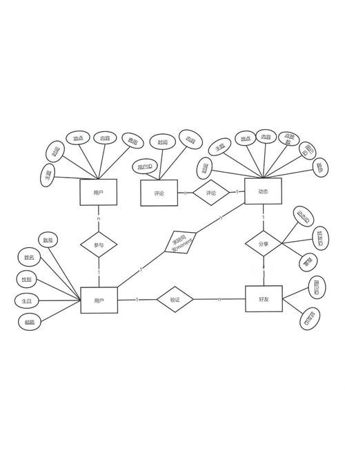
1、从E-R图向关系模式转化
数据库的逻辑设计主要是将概念模型转换成一般的关系模式,也就是将E-R图中的实体、实体的属性和实体之间的联系转化为关系模式。在转化过程中会遇到如下问题:
(1)命名问题。命名问题可以采用原名,也可以另行命名,避免重名。
(2)非原子属性问题。非原子属性问题可将其进行纵向和横行展开。
(3)联系转换问题。联系可用关系表示。
2、数据模型的优化
数据库逻辑设计的结果不是唯一的。为了进一步提高数据库应用系统的性能,还应该适当修改数据模型的结构,提高查询的速度。
3、关系视图设计
关系视图的设计又称为外模式的设计,也叫用户模式设计,是用户可直接访问的数据模式。同一系统中,不同用户可有不同的关系视图。关系视图来自逻辑模式,但在结构和形式上可能不同于逻辑模式,所以它不是逻辑模式的简单子集。
关系视图主要有三个作用:
(1)通过外模式对逻辑模式的屏蔽,为应用程序提供了一定的逻辑独立性。
(2)更好地适应不同用户对数据的不同需求。
(3)为不同用户划定了访问数据的不同范围,有利于数据的保密。
(推荐教程:mysql视频教程)
以上就是将e-r图转换为关系数据模型的过程属于什么的详细内容,更多请关注自由互联其它相关文章!
本文共计824个文字,预计阅读时间需要4分钟。
将e-R图转换为关系数据模型的步骤属于逻辑设计阶段。主要工作是将现实世界的概念数据模型设计成数据库的逻辑模式,这种模式适用于特定数据库管理系统支持的逻辑数据模型。
将e-r图转换为关系数据模型的过程属于“逻辑设计阶段”,主要工作是将现实世界的概念数据模型设计成数据库的一种逻辑模式,即适应于某种特定数据库管理系统所支持的逻辑数据模式。
本教程操作环境:windows7系统、mysql8版本、Dell G3电脑。
将e-r图转换为关系数据模型的过程属于“逻辑设计阶段”。
逻辑结构设计是将概念结构设计阶段完成的概念模型,转换成能被选定的数据库管理系统(DBMS)支持的数据模型。这里主要将E-R模型转换为关系模型。需要具体说明把原始数据进行分解、合并后重新组织起来的数据库全局逻辑结构,包括所确定的关键字和属性、重新确定的记录结构和文件结构、所建立的各个文件之间的相互关系,形成本数据库的数据库管理员视图。
逻辑结构设计一般分为三步进行:
1、从E-R图向关系模式转化
数据库的逻辑设计主要是将概念模型转换成一般的关系模式,也就是将E-R图中的实体、实体的属性和实体之间的联系转化为关系模式。在转化过程中会遇到如下问题:
(1)命名问题。命名问题可以采用原名,也可以另行命名,避免重名。
(2)非原子属性问题。非原子属性问题可将其进行纵向和横行展开。
(3)联系转换问题。联系可用关系表示。
2、数据模型的优化
数据库逻辑设计的结果不是唯一的。为了进一步提高数据库应用系统的性能,还应该适当修改数据模型的结构,提高查询的速度。
3、关系视图设计
关系视图的设计又称为外模式的设计,也叫用户模式设计,是用户可直接访问的数据模式。同一系统中,不同用户可有不同的关系视图。关系视图来自逻辑模式,但在结构和形式上可能不同于逻辑模式,所以它不是逻辑模式的简单子集。
关系视图主要有三个作用:
(1)通过外模式对逻辑模式的屏蔽,为应用程序提供了一定的逻辑独立性。
(2)更好地适应不同用户对数据的不同需求。
(3)为不同用户划定了访问数据的不同范围,有利于数据的保密。
(推荐教程:mysql视频教程)
以上就是将e-r图转换为关系数据模型的过程属于什么的详细内容,更多请关注自由互联其它相关文章!

