如何用JavaScript编写一个随机抽取三人的程序?
- 内容介绍
- 文章标签
- 相关推荐
本文共计812个文字,预计阅读时间需要4分钟。
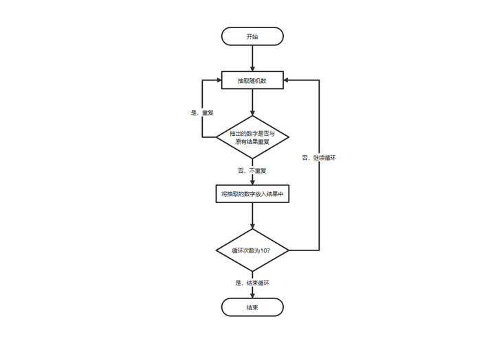
由于实验室每周需要三人来做报告,因此使用JS编写一个随机抽取页面的程序。需求如下:
1. 研究生共有5人,其中1人为单独一组,其余4人分为两组。
2.研究生共有9人,同时9人分为三组。
因为实验室每周需要三人来做报告,所以用JS来做一个随机抽取的页面。
首先,先说一下需求。研二同学共5人,一人是单独的一组,研一同学共9人,同时九人分为三组。所以共八组,每周报告的三人从八组中抽取,这三人不能有两人或者两人以上在同一组。
本文共计812个文字,预计阅读时间需要4分钟。
由于实验室每周需要三人来做报告,因此使用JS编写一个随机抽取页面的程序。需求如下:
1. 研究生共有5人,其中1人为单独一组,其余4人分为两组。
2.研究生共有9人,同时9人分为三组。
因为实验室每周需要三人来做报告,所以用JS来做一个随机抽取的页面。
首先,先说一下需求。研二同学共5人,一人是单独的一组,研一同学共9人,同时九人分为三组。所以共八组,每周报告的三人从八组中抽取,这三人不能有两人或者两人以上在同一组。

