如何用Vue技术栈实现一个完整的贪吃蛇游戏功能?
- 内容介绍
- 文章标签
- 相关推荐
本文共计1639个文字,预计阅读时间需要7分钟。
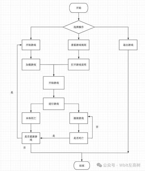
贪吃蛇是一款经典的休闲游戏,简单易上手,乐趣无穷。本文将介绍如何使用Vue框架实现一个简单的贪吃蛇游戏。一、项目准备在开始之前,我们需要安装Vue CLI。如果你还没有安装,可以使用以下命令进行安装:`npm install -g @vue/cli`。
贪吃蛇是一款经典的游戏,它简单易上手却乐趣无穷。本文将介绍如何使用Vue框架实现一个简单的贪吃蛇游戏。
一、项目准备
在开始之前,我们需要安装Vue CLI。如果你还没有安装,可以按照以下步骤进行安装。
- 在终端中运行以下命令:
npm install -g @vue/cli
- 创建一个新的Vue项目。
vue create snake-game
- 进入刚刚创建的项目。
cd snake-game
二、项目结构和技术选型
在项目结构方面,我们需要创建两个组件:一个是游戏界面组件,一个是蛇的组件。
在技术选型方面,我们选择使用HTML5 Canvas进行游戏界面的绘制,并使用Vue组件化思想来实现逻辑控制。
本文共计1639个文字,预计阅读时间需要7分钟。
贪吃蛇是一款经典的休闲游戏,简单易上手,乐趣无穷。本文将介绍如何使用Vue框架实现一个简单的贪吃蛇游戏。一、项目准备在开始之前,我们需要安装Vue CLI。如果你还没有安装,可以使用以下命令进行安装:`npm install -g @vue/cli`。
贪吃蛇是一款经典的游戏,它简单易上手却乐趣无穷。本文将介绍如何使用Vue框架实现一个简单的贪吃蛇游戏。
一、项目准备
在开始之前,我们需要安装Vue CLI。如果你还没有安装,可以按照以下步骤进行安装。
- 在终端中运行以下命令:
npm install -g @vue/cli
- 创建一个新的Vue项目。
vue create snake-game
- 进入刚刚创建的项目。
cd snake-game
二、项目结构和技术选型
在项目结构方面,我们需要创建两个组件:一个是游戏界面组件,一个是蛇的组件。
在技术选型方面,我们选择使用HTML5 Canvas进行游戏界面的绘制,并使用Vue组件化思想来实现逻辑控制。

