数据结构中的树,有哪些应用场景和特点?
- 内容介绍
- 文章标签
- 相关推荐
本文共计1048个文字,预计阅读时间需要5分钟。
树的定义和基本术语:树是一种层次结构的集合,其中的每一个节点都只有一个前驱,但可能有多个后继。树是n个节点的有限集合。n=0时称为空树。在任何非空树中:(1)有且仅有一个称为根的节点;(2)当n>1时,其余节点可分为m(m>0)个互不相交的有限集,每个集合本身又是一棵树,并称为根的子树。
树的定义和基本术语
树是一种层级结构,对其中的每一个结点都只能有一个前驱,但可能有多个后继。
树是n个结点的有限集。n=0时称为空树。在任意一棵非空树中:(1)有且仅有一个特定的称为根的结点。(2)当n>1时,其余结点可分为m个互不相交的有限集,其中每一个集合本身又是一棵树,并且称为根的子树。
树的定义其实就是在学习栈时提到的递归的方法。也就是在树的定义之中还用到了树的概念,这是一种比较新的定义方法。如图子树T1和子树T2就是结点A的子树。
对于树的定义还需要注意:
1.n>0 时根节点是唯一的,不可能存在多个根结点,这跟现实中的大树不一样,现实中的大树有很多根须,那是真实的树,数据结构中的树是只能有一个根结点。
2.m>0时,子树的个数没有限制,但它们不一定是互不相交的,像下图就不符合树的定义,因为它们都有相交的子树。
结点分类
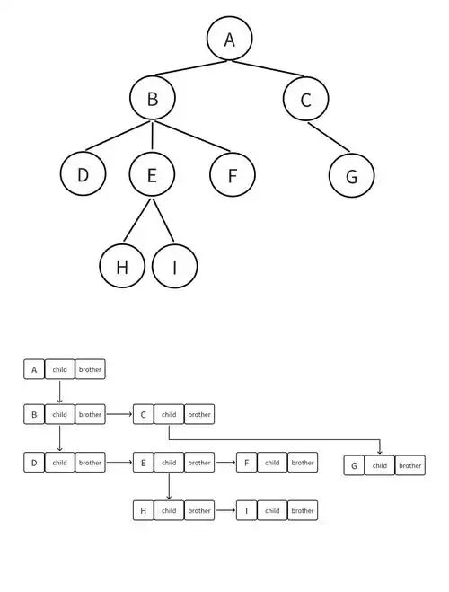
树的结点包含一个数据元素及若干指向子树的分支。结点拥有的子树数称为结点的度。度为0的结点称为叶结点或终端结点;度不为0的结点称为非终端结点或分支结点。除了根结点之外,分支结点也称为内部结点。树的度是树内各结点的度的最大值,如图所示,因为这棵树结点的度的最大值是结点D的度,为3,所以树的度也为3。度不等于0的分支结点称为非终端结点,根结点以外的分支结点称为内部结点;度等于0的结点称为叶子或者终端结点。
本文共计1048个文字,预计阅读时间需要5分钟。
树的定义和基本术语:树是一种层次结构的集合,其中的每一个节点都只有一个前驱,但可能有多个后继。树是n个节点的有限集合。n=0时称为空树。在任何非空树中:(1)有且仅有一个称为根的节点;(2)当n>1时,其余节点可分为m(m>0)个互不相交的有限集,每个集合本身又是一棵树,并称为根的子树。
树的定义和基本术语
树是一种层级结构,对其中的每一个结点都只能有一个前驱,但可能有多个后继。
树是n个结点的有限集。n=0时称为空树。在任意一棵非空树中:(1)有且仅有一个特定的称为根的结点。(2)当n>1时,其余结点可分为m个互不相交的有限集,其中每一个集合本身又是一棵树,并且称为根的子树。
树的定义其实就是在学习栈时提到的递归的方法。也就是在树的定义之中还用到了树的概念,这是一种比较新的定义方法。如图子树T1和子树T2就是结点A的子树。
对于树的定义还需要注意:
1.n>0 时根节点是唯一的,不可能存在多个根结点,这跟现实中的大树不一样,现实中的大树有很多根须,那是真实的树,数据结构中的树是只能有一个根结点。
2.m>0时,子树的个数没有限制,但它们不一定是互不相交的,像下图就不符合树的定义,因为它们都有相交的子树。
结点分类
树的结点包含一个数据元素及若干指向子树的分支。结点拥有的子树数称为结点的度。度为0的结点称为叶结点或终端结点;度不为0的结点称为非终端结点或分支结点。除了根结点之外,分支结点也称为内部结点。树的度是树内各结点的度的最大值,如图所示,因为这棵树结点的度的最大值是结点D的度,为3,所以树的度也为3。度不等于0的分支结点称为非终端结点,根结点以外的分支结点称为内部结点;度等于0的结点称为叶子或者终端结点。

